Ответы
Ответ дал:
9
Ответ:
вот :3
Пошаговое объяснение:
♡♡♡♡♡♡♡♡♡♡♡♡♡♡♡
Приложения:

Ответ дал:
7
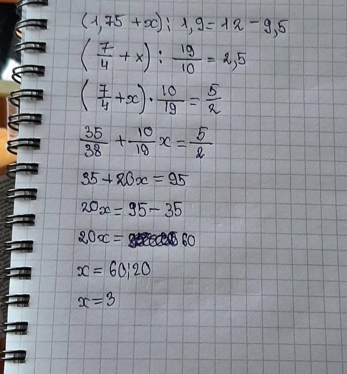
Ответ:
3
Пошаговое объяснение:
(1,75 + х) : 1,9 = 12 - 9,5
(1,75 + х) : 1,9 = 2,5
1,75 + х = 2,5 * 1,9
1,75 + х = 4,75
х = 4,75 - 1,75
х = 3
Вас заинтересует
2 года назад
3 года назад
8 лет назад
9 лет назад