• Предмет: Алгебра
  • Автор: tanchik8555
  • Вопрос задан 8 лет назад

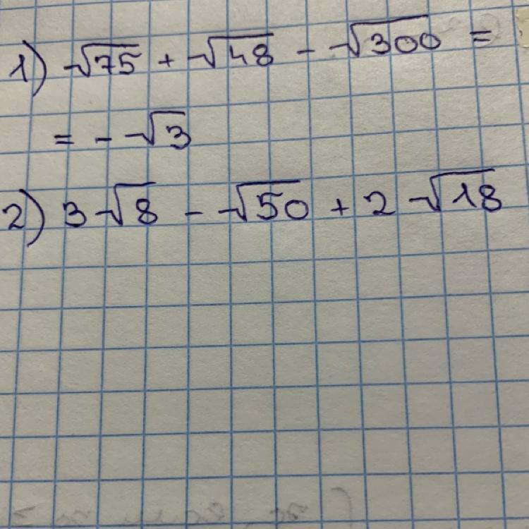
Объясните,пожалуйста,как решить 2 пример!!)

Приложения:

Ответы

Ответ дал: zereorazalina2019
1

Ответ:

7√2

Объяснение:

3√8-√50+2√18

6√2-5√2+6√2=

7√2


tanchik8555: Спасибо!
Вас заинтересует