Ответы
Ответ дал:
1
Не врубаюсь...
_______________
Ответ дал:
1
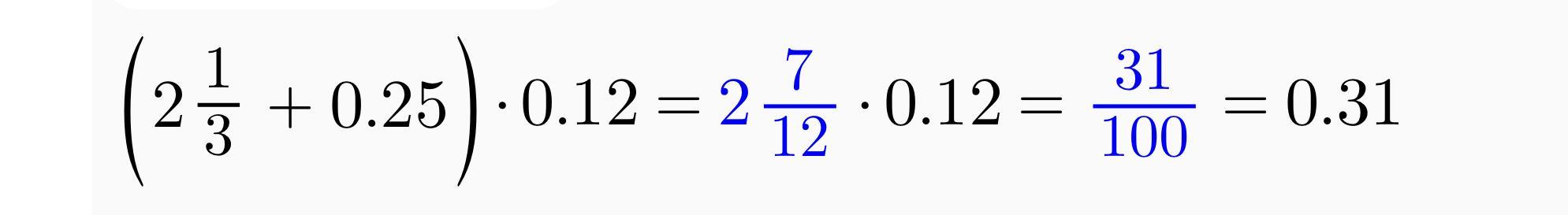
Ответ:
Пошаговое объяснение:
Приложения:



aasvvalt24:
спсибо
Вас заинтересует
2 года назад
2 года назад
3 года назад
3 года назад
8 лет назад
8 лет назад
9 лет назад