• Предмет: Математика
  • Автор: zxsklvm
  • Вопрос задан 8 лет назад

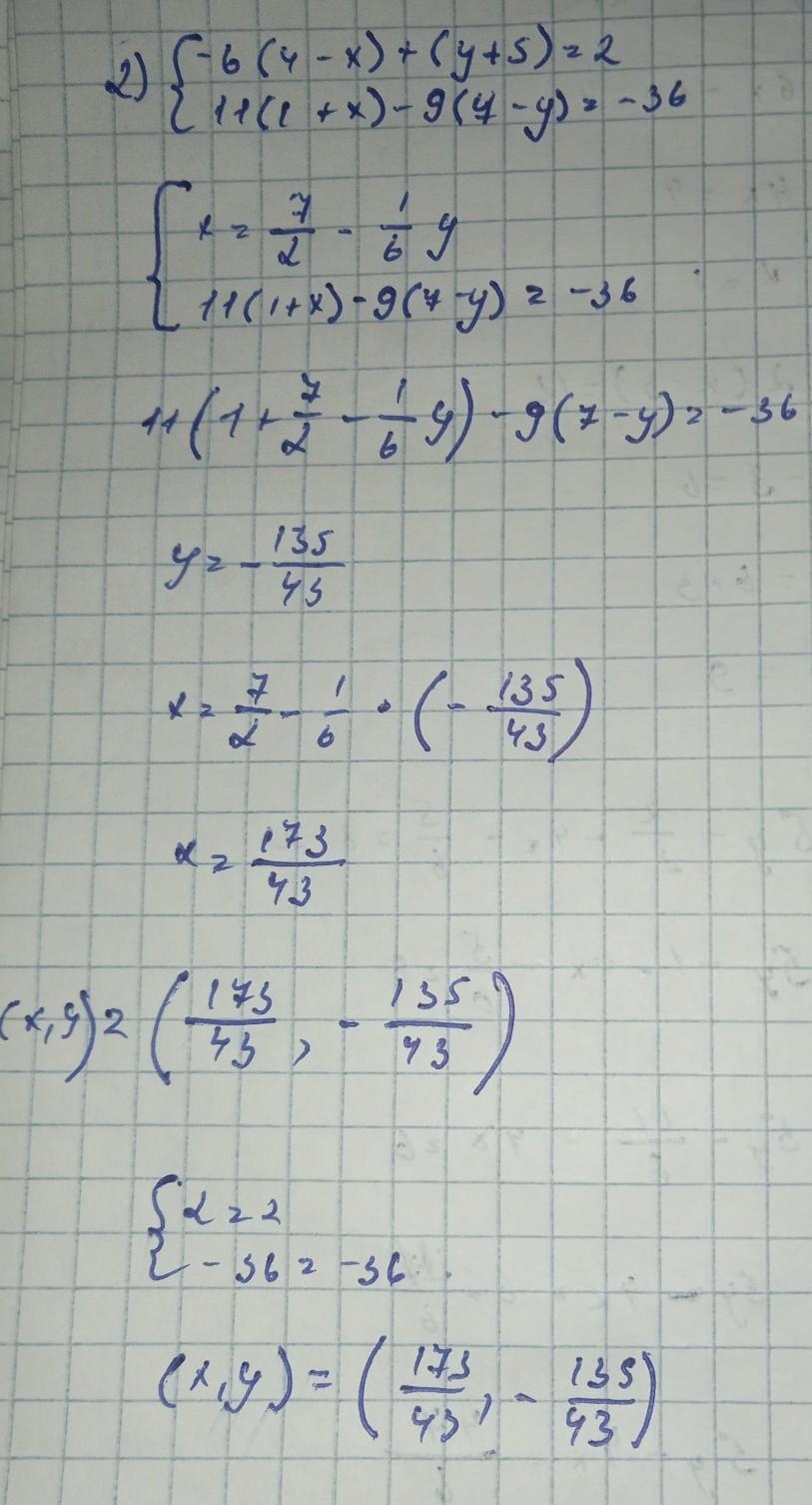
|-6(4-x)+(y+5)=2,
2)
11(1+x)-917-y)=-36.
Помогите пожалуйста очень надо только правильно плииз дам 20 баллов

Приложения:

Ответы

Ответ дал: mirabajbulsyn
3

Ответ:

вот держи, надеюсь подчерк понятен

Приложения:

Аноним: спасибо
Аноним: большое
Аноним: (^_-)
Вас заинтересует