• Предмет: Алгебра
  • Автор: tuzikpuziy
  • Вопрос задан 8 лет назад

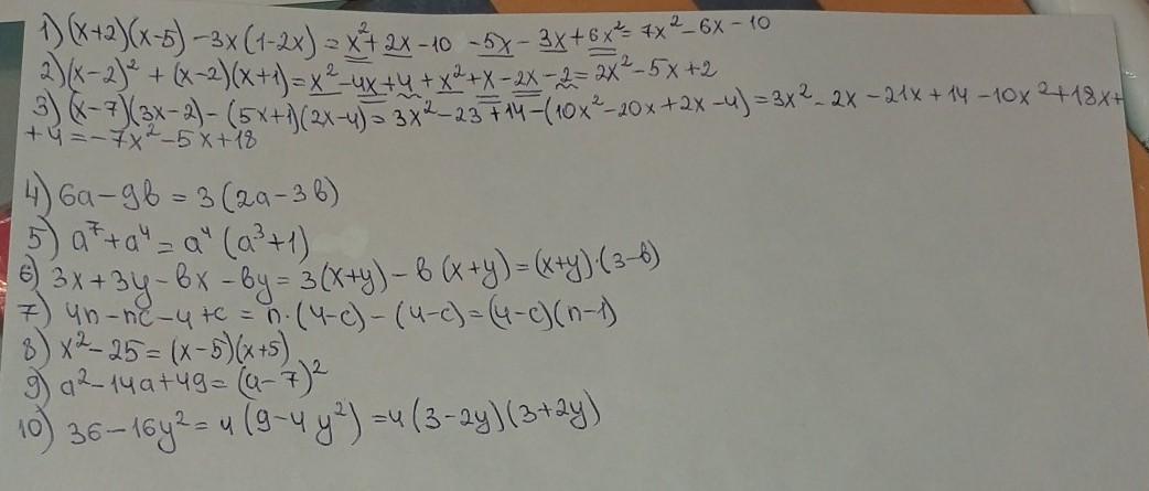
Упростите выражение
1) (x+2)(x-5)-3x(1-2x)
2) (x-2)↑2+(x-2)(x+1)
3) (x-7)(3x-2)-(5x+1)(2x-4)
Разложите на множители
4)6a-9b
5)a↑7+a↑4
6)3x+3y-bx-by
7)4n-nc-4+c
8)x↑2-25
9)a↑2-14a+49
10)36-16y↑2

Ответы

Ответ дал: zhg9215
1

Объяснение:

все подробно расписала

Приложения:
Вас заинтересует