• Предмет: Алгебра
  • Автор: luffi112
  • Вопрос задан 8 лет назад

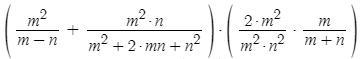
помогите плиз с этим

Приложения:

Ответы

Ответ дал: almiragureva8
0

Ответ:

(=^・ェ・^=) !!!!!!!!!!!

Приложения:
Вас заинтересует