• Предмет: Математика
  • Автор: milenchhik
  • Вопрос задан 8 лет назад

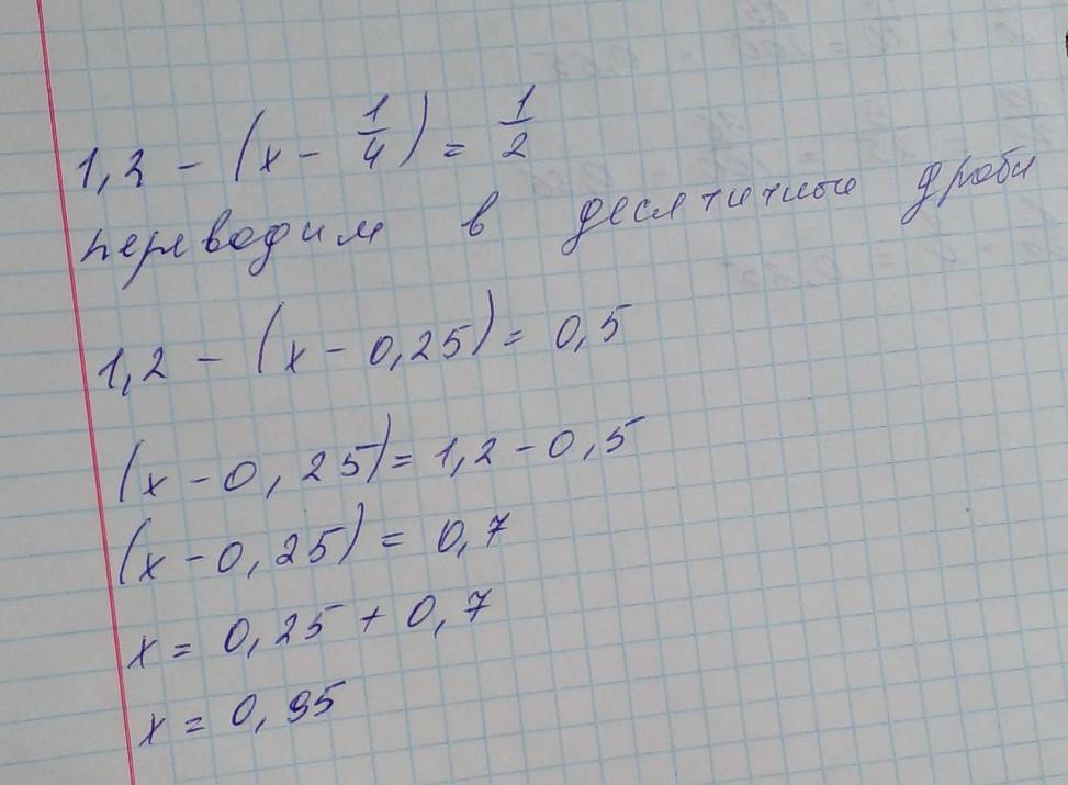
1,2-(x-1/4)=1/2
помогите ответить срочно

Ответы

Ответ дал: Volfvumen
1

Ответ:

100% ответ

туньк туньк туньк

Приложения:
Вас заинтересует