• Предмет: Геометрия
  • Автор: красоФка
  • Вопрос задан 11 лет назад

Постройте треугольник АВС по углу А и стороне ВС, если известно что АВ : АС = 2 : 1

Ответы

Ответ дал: cos20093
0

пусть ВС = b; угол А так и будем обозначать А. То, что он ЗАДАН, означает, что мы можем к любой прямой в любой точке провести линию под углом А.

Для начала построим вот что - проведем ГДЕ-НИБУДЬ отрезок длинны b. Из середины и левого конца восставим перпендикуляры, кроме того, из левого конца проведем линию под углом  А к перпендикуляру, до пересячения с перпендикуляром из центра (см первый чертежик). Точка пересечения - центр окружности. Радиус равен расстоянию до концов отрезка. Любой вписаный в эту окружность угол, опирающийся на хорду b, будет равен А (центральный угол хорды равен 2*A, а вписаный, соответственно, половине, то есть А).

 

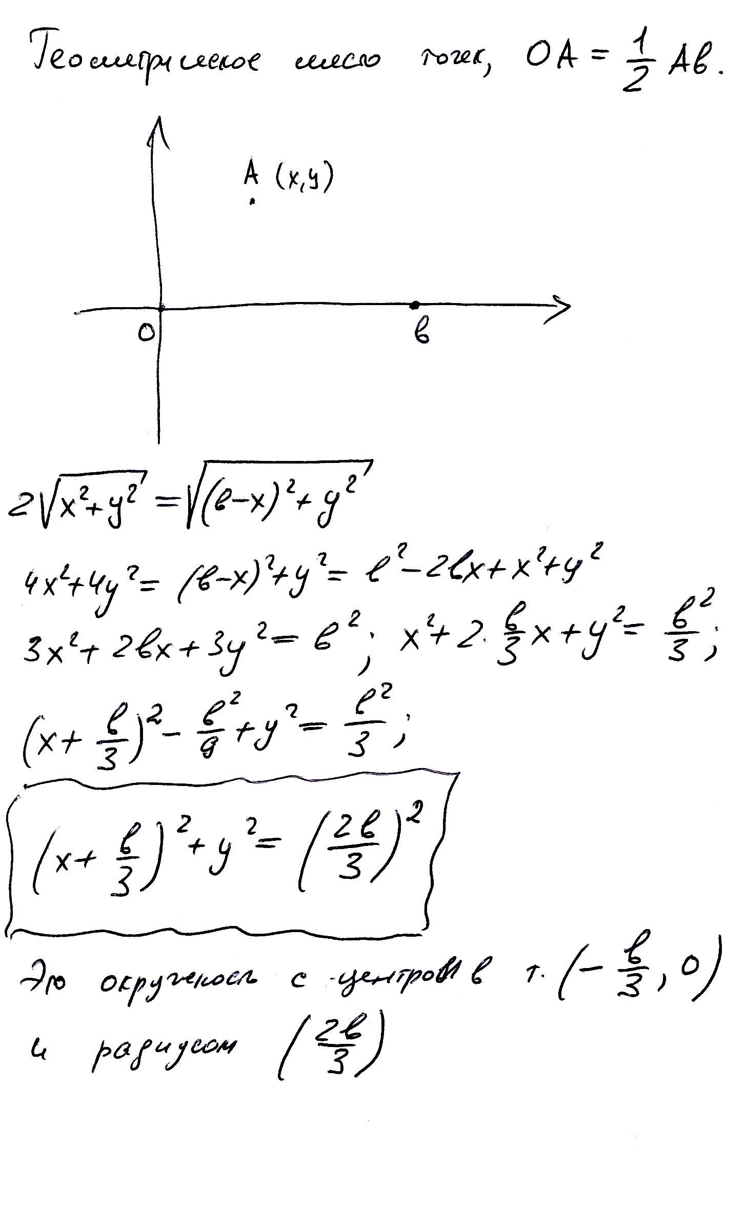
Это означает, что вершина А лежит ГДЕ-ТО на этой окружности. При этом расстояние от одного конца хорды до т.А в 2 раза больше, чем до другого.

Зададимся вопросом, что за ГЕОМЕТРИЧЕСКОЕ МЕСТО ТОЧЕК, такое, что расстояние до одной точки в 2 раза больше,чем до другой.

 

На втором чертежике я показываю, что это окружность с радиусом 2*b/3 и центром, отстоящим от левого конца отрезка на b/3. Построение такой окружности не представляет труда. Продолжаем хорду за левый конец на расстояние b/3, там ставим "циркуль" и рисуем окружность радиуса 2*b/3.

Точка её пересечения с первой окружностью и есть положение вершины А.

Все. Я надеюсь, не надо объяснять, как строить треть от отрезка? :)))) а то могу :))) Хорошая задача.

Приложения:
Вас заинтересует