решите, пожалуйста, не как в фотоматематике! я не знаю за какой это класс, но нам дали в 11, а я вообще не помню как решать. помогите, пожалуйста ❤️
Приложения:

Ответы
Ответ дал:
1
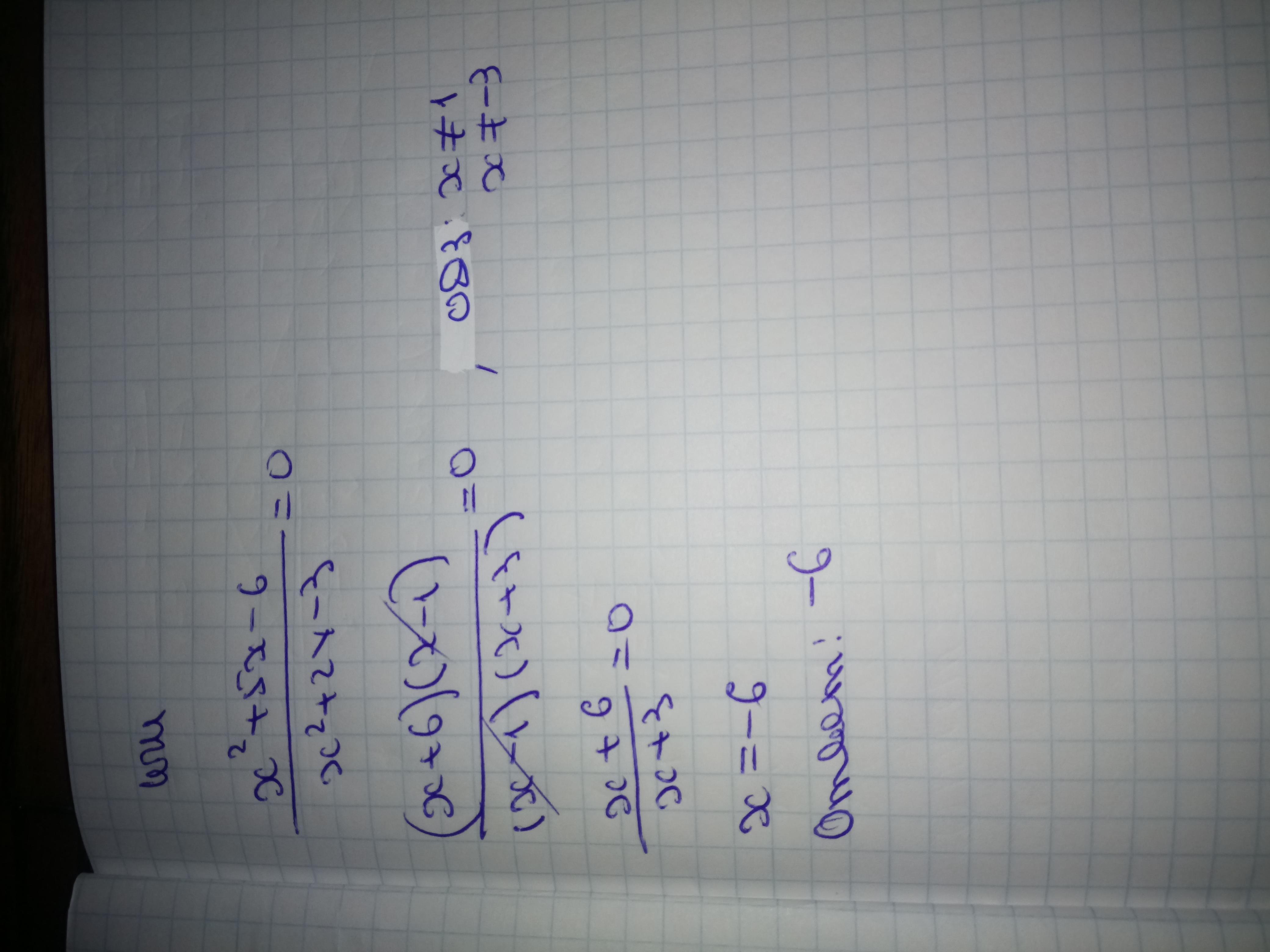
Ответ :-6
Решение задания прилагаю
Приложения:


sorryidontlikeyou:
спасибо что Вы есть!!!❤️
Вас заинтересует
2 года назад
2 года назад
3 года назад
8 лет назад
8 лет назад
9 лет назад