• Предмет: Алгебра
  • Автор: oshtutgard
  • Вопрос задан 8 лет назад

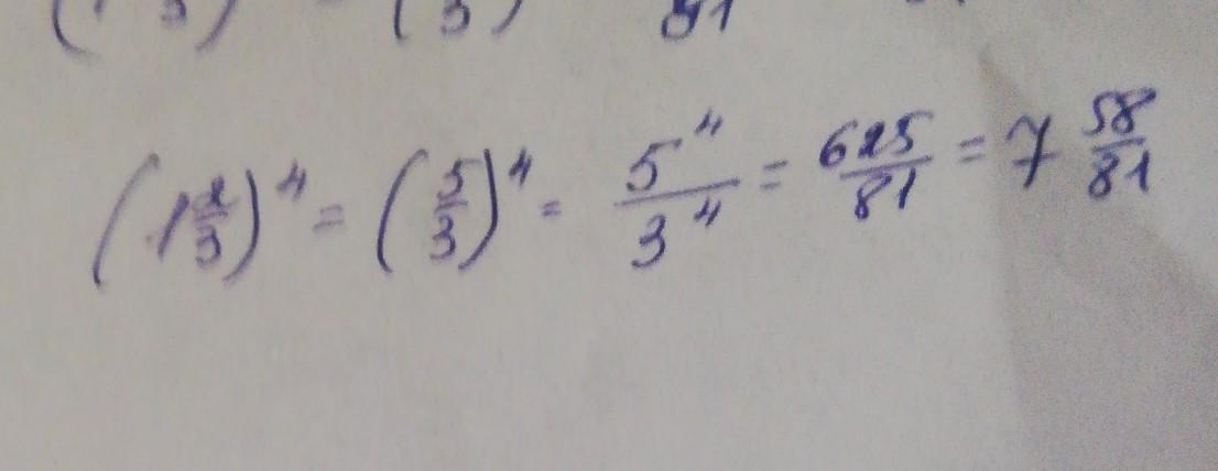
выполните возведение в степень (1 ⅔)⁴​

Ответы

Ответ дал: larisaserova53
1

Ответ:

Смотри решение на фото выше

Приложения:
Ответ дал: NNNLLL54
1

Ответ:

\Big(1\dfrac{2}{3}\Big)^4=\Big(\dfrac{5}{3}\Big)^4=\dfrac{5^4}{3^4}=\dfrac{625}{81}=7\dfrac{58}{81}

Вас заинтересует