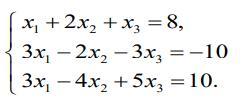
Решить систему линейных уравнений методом Крамера:
Приложения:

marina733071:
привет. Сможешь скинуть фото как вы решаете в классе. просто мы такое ещё не проходили
Ответы
Ответ дал:
1
Ответ:
P.S. Все определители вычисляла при помощи раскрытия по 1 строке .
Можешь еще помочь?
Вас заинтересует
2 года назад
2 года назад
3 года назад
8 лет назад
8 лет назад
9 лет назад