• Предмет: Алгебра
  • Автор: EvgeshaSmirnov
  • Вопрос задан 8 лет назад

20баллов помогите по алгебре ​

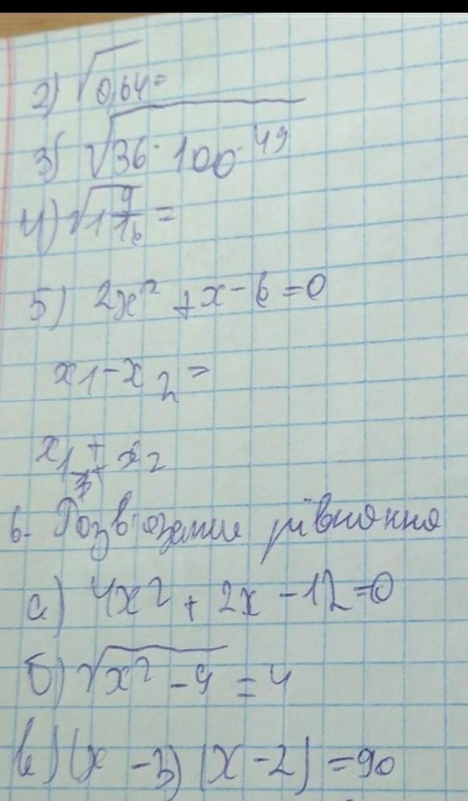
Приложения:

Ответы

Ответ дал: NNNLLL54
1

Ответ:

2)\ \ \sqrt{0,64}=0,8\\\\3)\ \ \sqrt{36\cdot 100\cdot 49}=6\cdot 10\cdot 7=420\\\\4)\ \ \sqrt{1\dfrac{9}{16}}=\sqrt{\dfrac{25}{16}}=\dfrac{5}{4}\\\\5)\ \ 2x^2+x-6=0\ \ \Rightarrow \ \ \ \underline{x_1+x_2=-\dfrac{1}{2}\ }\ \ ,\ \ x_1\cdot x_2=-3\ \ (teorema\ Vieta)\ \ ,\\\\D=49\ ,\ \ x_1=-2\ ,\ x_2=1,5\\\\\underline{\ x_1-x_2=-2-1,5=-3,5\ }

6)\ \ 4x^2+2x-12=0\ \ ,\ \ 2x^2+x-6=0\ \ ,\ \ D=49\ ,\ x_1=-2\ ,\ x_2=1,5\\\\b)\ \ \sqrt{x^2-4}=4\ \ ,\ \ x^2-4=16\ \ ,\ \ x^2=20\ \ ,\ \ x=\pm 2\sqrt5\\\\c)\ \ (x-3)(x-2)=90\ \ ,\ \ x^2-5x-84=0\ \ ,\ \ D=361\ ,\\\\x_{1,2}=\dfrac{5\pm 19}{2}\ \ ,\ \ x_1=-7\ ,\ \ x_2=12

Вас заинтересует