Решите уравнение методом введения новой переменной
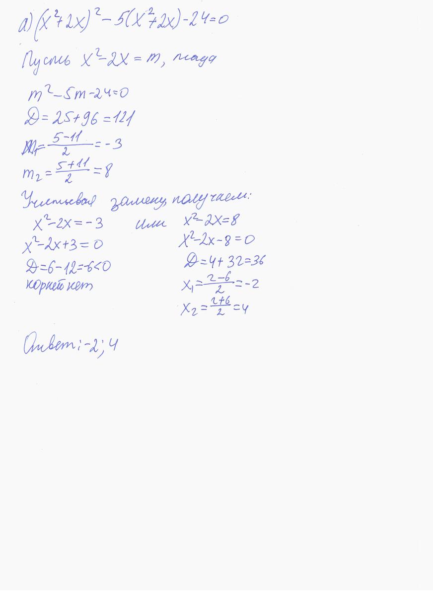
а)(х^2+2x)^2-5(x^2+2x)-24=0
б)(x^2-x)^2-15(x^2-x)-100=0
в)3(x^2+x)^2-10x^2-10x=48
г) (y^2-2y)^2-4y^2+8y+3=0
Ответы
Ответ дал:
0
Вот.
Решила все 4 примера.
Решила все 4 примера.
Приложения:




Вас заинтересует
2 года назад
2 года назад
8 лет назад
8 лет назад
10 лет назад
10 лет назад