• Предмет: Математика
  • Автор: wifin667
  • Вопрос задан 8 лет назад

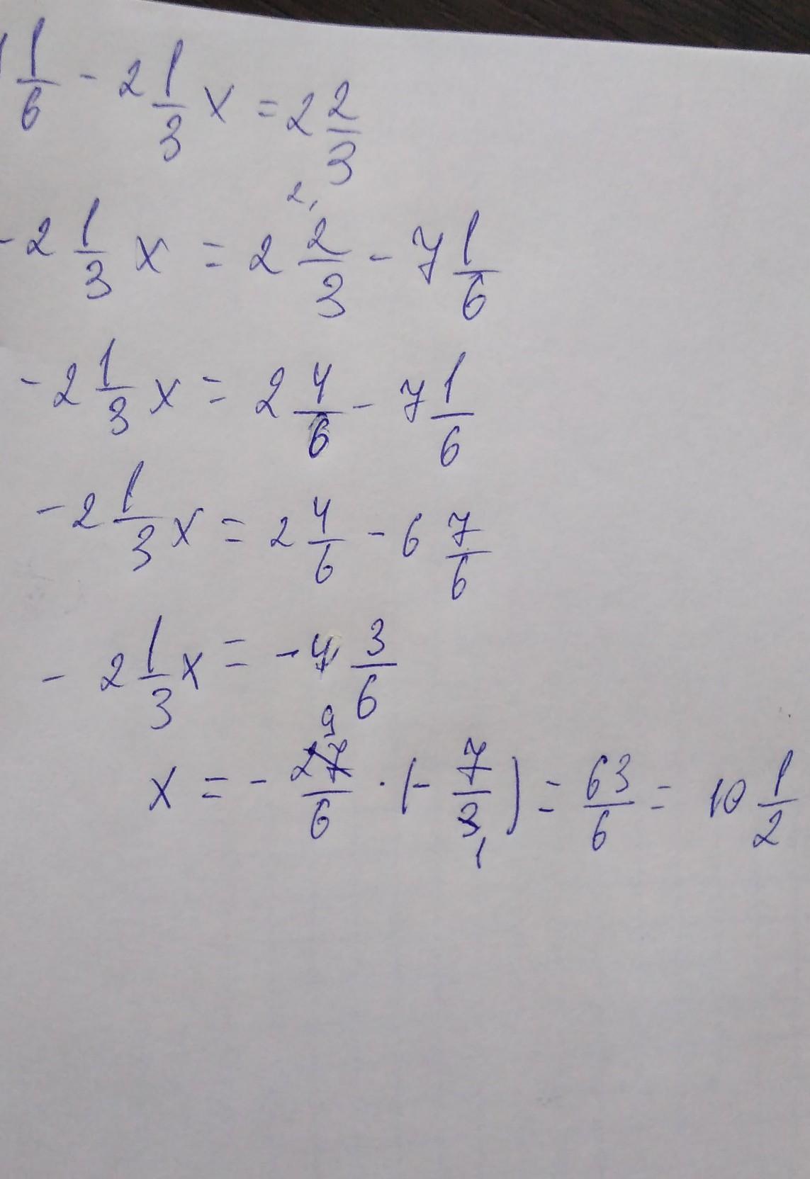
Помогите пожалуйста решить уравнение, очень подробно заранее спасибо​

Приложения:

Ответы

Ответ дал: latikika102
1

Пошаговое объяснение:

там расписано все, должен понять

Приложения:

wifin667: спасибо большое всё понятно
Вас заинтересует