• Предмет: Математика
  • Автор: GoResTT
  • Вопрос задан 8 лет назад

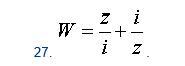
Найти все точки плоскости Сz, в которых дифференцируема функция W=f (z).

Приложения:

Ответы

Ответ дал: igorShap
1

Ответ:

z\in C\backslash\{0\}

Пошаговое объяснение:

z=x+iy; x,y\in R

Подставим в функцию:

W=\dfrac{x+iy}{i}+\dfrac{i}{x+iy}=\dfrac{x}{i}+y+\dfrac{i(x-iy)}{(x+iy)(x-iy)}=-xi+y+\dfrac{ix+y}{x^2+y^2}=\\ =\underbrace{\left(y+\dfrac{y}{x^2+y^2}\right)}_{u(x,y)}+i\underbrace{\left(\dfrac{x}{x^2+y^2}-x\right)}_{v(x,y)}

Очевидно, u(x,y),v(x,y) дифференцируемы \forall x,y\in R, x^2+y^2\neq 0 .

Запишем условия Коши-Римана:

\left\{\begin{array}{c}-\dfrac{y}{(x^2+y^2)^2}\cdot2x=-\dfrac{x}{(x^2+y^2)^2}\cdot2y\\ 1+\dfrac{x^2+y^2-y\cdot 2y}{(x^2+y^2)^2}=1-\dfrac{x^2+y^2-x\cdot 2x}{(x^2+y^2)^2}\end{array}\right.\Leftrightarrow x^2+y^2\neq 0

Т.е. условия Коши-Римана выполнены для \forall z\in C\backslash\{0\}.

Значит, функция W(z) дифференцируема в \forall z\in C\backslash\{0\}.


princesscelestia85: здравствуйте, можете мне пожалуйста помочь с информатикой?
Вас заинтересует