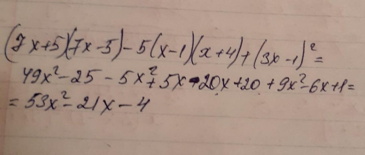
(7х+5)(7х-5)-5(х-1)(х+4)+(3х-1)² срочно нужно мне 34 лет
settom:
что сделать-то нужно? упростить?
Ответы
Ответ дал:
0
Объяснение:
см фото,,,,,,,,,,,,,,,,,,,
Приложения:

Вас заинтересует
2 года назад
3 года назад
3 года назад
8 лет назад
8 лет назад