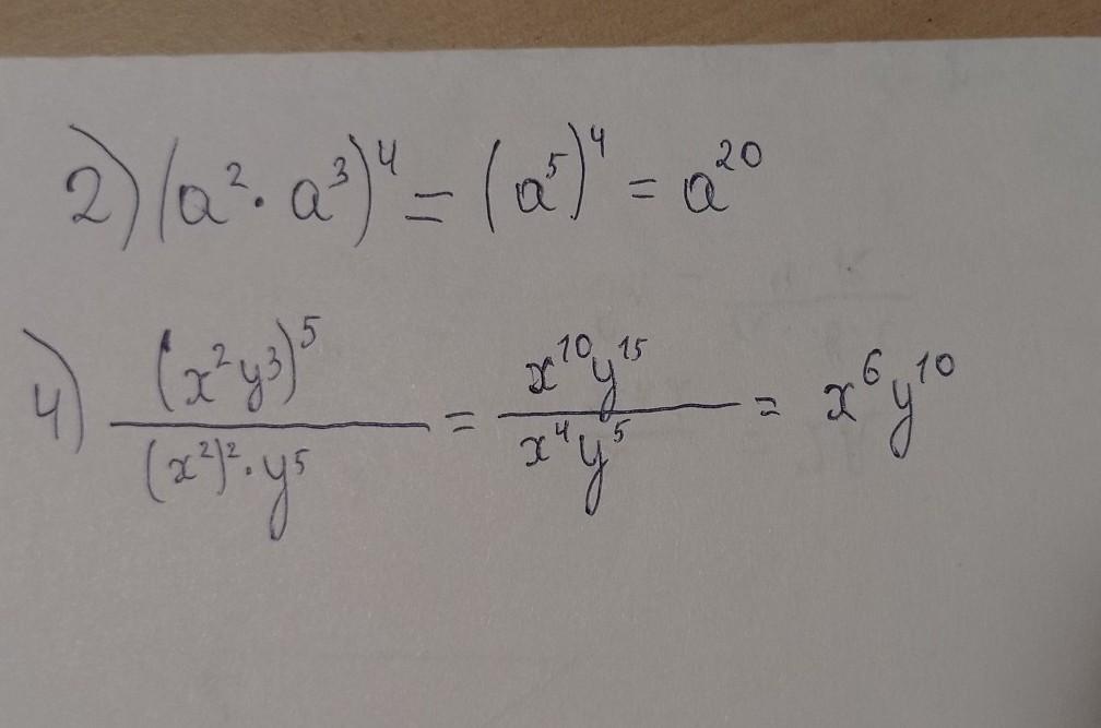
Нужно 4) и 2),срочно
0.16. Упростите выражение:
1) (x2)4. (x4)3;
(mn) - m'n
- (mn)
3)
3
;
4)
т
х
.
Приложения:

Ответы
Ответ дал:
3
Ответ:
вот ответ!!!!!!!
Объяснение:
прриимиолдлорр
Приложения:

suunovaroza6:
где другие
Вас заинтересует
2 года назад
3 года назад
8 лет назад
8 лет назад