ПОМОГИТЕ РЕШИТЬ ЗАДАЧИ!!!!!!
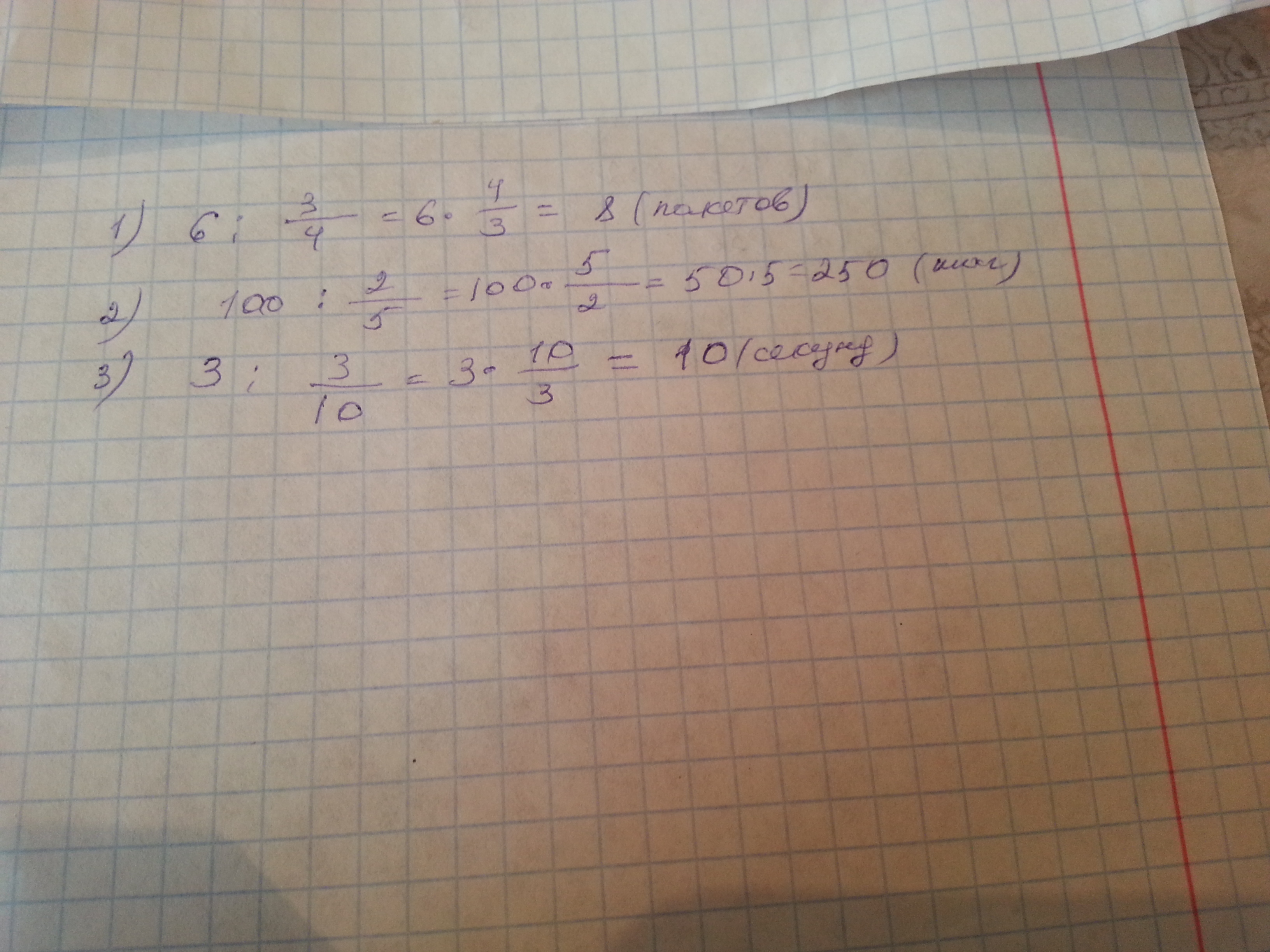
1) В одном пакете 3 ( три четвертых) кг урюка. В скольких пакетах содержится 6 кг урюка?
4
2) Один шаг ребенка равен 2 (ДВЕ ПЯТЫХ) метра. Сколько шагов сделает ребенок, пройдя расстояние, равное 100м? 5
3) Скорость распространения звука в воздухе равна ТРИ ДЕСЯТЫХ км/с. За сколько секунд распространится звук на расстояние равное 3 км?
Ответы
Ответ дал:
0
Ответ ответ ответ ответ ответ ответ
Приложения:

Вас заинтересует
2 года назад
2 года назад
8 лет назад
8 лет назад
10 лет назад
10 лет назад
10 лет назад