• Предмет: Алгебра
  • Автор: Anaya50
  • Вопрос задан 8 лет назад

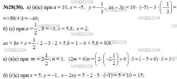
Вычислите значение выражения: ах+bx+с при а=1/2, х=2, b=-3, с=5,8. (Помогите срочно пожалуйста с подробным объяснением, очень срочно,даю много баллов)

Ответы

Ответ дал: ME4TMACHINE
1

Ответ как то так ,)

Приложения:
Вас заинтересует