• Предмет: Математика
  • Автор: abdurahimovamahfuza5
  • Вопрос задан 8 лет назад

решите уравнение плис дам 10 баллов​

Приложения:

Ответы

Ответ дал: Ана501
1

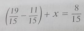
(19/15-11\15)+х=8/15

8/15+х=8/15

х=8/15-8/15

х=0

Вас заинтересует