• Предмет: Алгебра
  • Автор: varyakireychuk17
  • Вопрос задан 8 лет назад

-Нужно срочно решение ​

Приложения:

Ответы

Ответ дал: chelovek12369655888
0

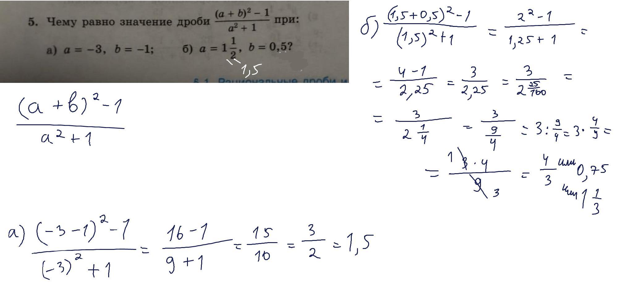
Ответ:

фото

Объяснение:

Приложения:
Вас заинтересует