• Предмет: Алгебра
  • Автор: pzinoveva19
  • Вопрос задан 8 лет назад

Решите пожалуйста СРОЧНО!

Приложения:

Ответы

Ответ дал: larisaserova53
1

Ответ:

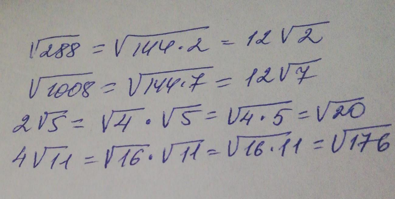
Смотри решение на фото выше

Приложения:

pzinoveva19: Спасибо большое
Вас заинтересует