• Предмет: Геометрия
  • Автор: Аноним
  • Вопрос задан 8 лет назад

Помогите, пожалуйста, срочно!

Приложения:

Ответы

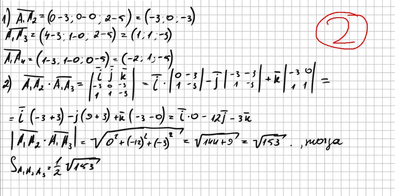
Ответ дал: Ilyazov45
1

------------------------

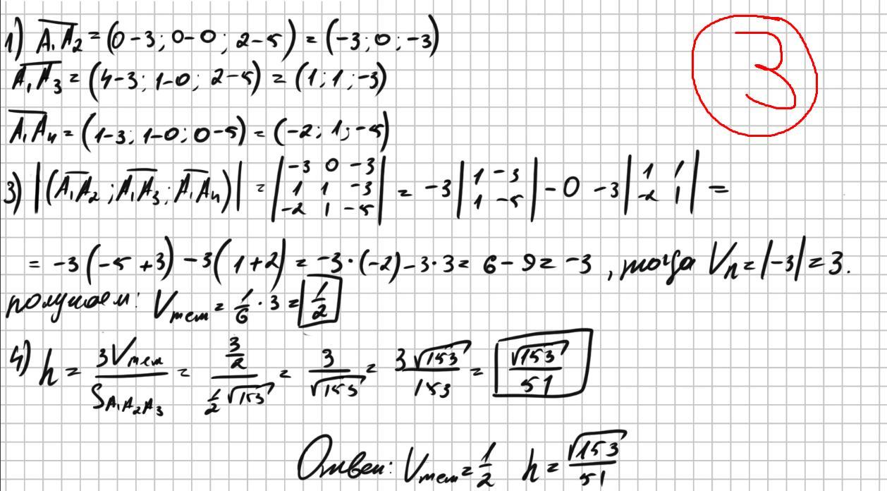
Приложения:

Аноним: спасибо большое!
а можешь тут помочь еще?
https://znanija.com/task/45246550
Вас заинтересует