• Предмет: Математика
  • Автор: Аноним
  • Вопрос задан 8 лет назад

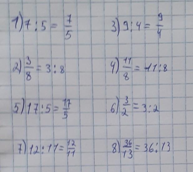
5.Напишите отношения, обратные данным; срочно дам 20 баллов
класс 6 Матем номер 5 ​

Приложения:

MRKRABIK111: 7/5=5/7. 3/8=8/3. 9/4=4/9. И т.д.

Ответы

Ответ дал: MRKRABIK111
1

Ответ:

7/5=5/7. 3/8=8/3. 9/4=4/9. И т.д.

Пошаговое объяснение:

Ответ дал: kiskazet3383
2

Ответ:

Вот

Пошаговое объяснение:

Это вы должны так решить? Я просто типо так понела

Приложения:

MRKRABIK111: Да, так
Вас заинтересует