• Предмет: Алгебра
  • Автор: uulia440
  • Вопрос задан 8 лет назад

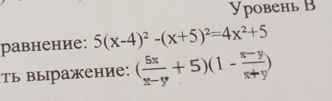
В1 решите уравнение
В2 Упростить выражение
примеры вон там на фото срочно​

Приложения:

Ответы

Ответ дал: Аноним
0

1) 5(x-4)^{2}-(x+5)^{2}=4x^{2} +5  \\5(x^{2} -8x+16)-(x^{2} +10x+25)=4x^{2} +5\\5x^{2} -40x+80-x^{2} -10x-25=4x^{2} +5\\4x^{2} -50x+55=4x^{2} +5\\-50x+55=5\\-50x=5-55\\-50x=-50\\x=1\\2) (\frac{5x}{x-y} +5)*(1-\frac{x-y}{x+y} )\\\frac{5x+5(x-y)}{x-y} *\frac{x+y-(x-y)}{x+y} \\\frac{5x+5x-5y}{x-y} *\frac{x+y-x+y}{x+y} \\\frac{10x-5y}{x-y} * \frac{2y}{x+y} \\\frac{2y*(10x-5y)}{(x-y)*(x+y)} \\\frac{20xy-10y^{2} }{x^{2} -y^{2} }

Вас заинтересует