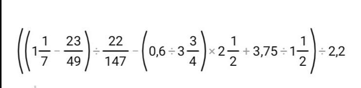
Помогите решить пожалуйста по действиям
ДАЮ 100 БАЛЛОВ!!!!
Приложения:

pakhtanova02:
Жду
Ответы
Ответ дал:
0
ну крч вот так 987654321987654321987654321
Приложения:



Ответ дал:
1
1)
2)
3)
4)
5)
6)
Вас заинтересует
2 года назад
2 года назад
3 года назад
3 года назад
8 лет назад
9 лет назад