Здраствуйте,решите пожалуйста линейное уравнение.
5(х-2)-3(х+1)=6х
Я не могу понять уравнения,сколько бы тем и видео уроков не смотрела.Помогите пожалуйста,если можно с объяснениями,последняя надежда что помогут тут.
Ответы
Ответ дал:
1
Ответ:
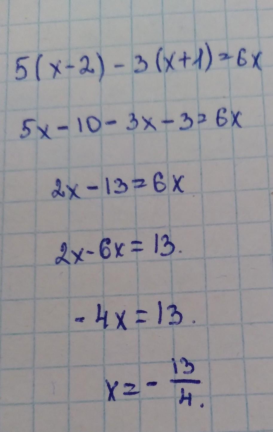
по моему это так если не правильно прости
Приложения:

amberhoustons:
все правильно, молодец
Ответ дал:
1
для начала раскрываешь скобки.
5(х-2)-3(х+1)=6х
5х-10-3х-3=6х.
- на - всегда будет +
- на + будет -
+ на - будет -
+ на + будет +
так вот, после раскрытия скобок
считаем дальше
5х-3х= 2х
-10-3=-13
осталось ещё 6х, его мы переносим на другую часть, соответственно меняется его знак. то есть 6х=как+6х, если переносим, то знак меняется и становится -6х
получается
2х-6х=13 (заметь, было -13, но из-за того, что перенесли на другую часть, его знак поменялся, и стал +13
считаем
-4х=13
х=13:(-4)=-3,25
ответ: х=-3,25
Приложения:

Вас заинтересует
2 года назад
2 года назад
3 года назад
3 года назад
8 лет назад
8 лет назад
9 лет назад