ПЛИИИИЗ нужен ответ срочно!! разложите на множители:
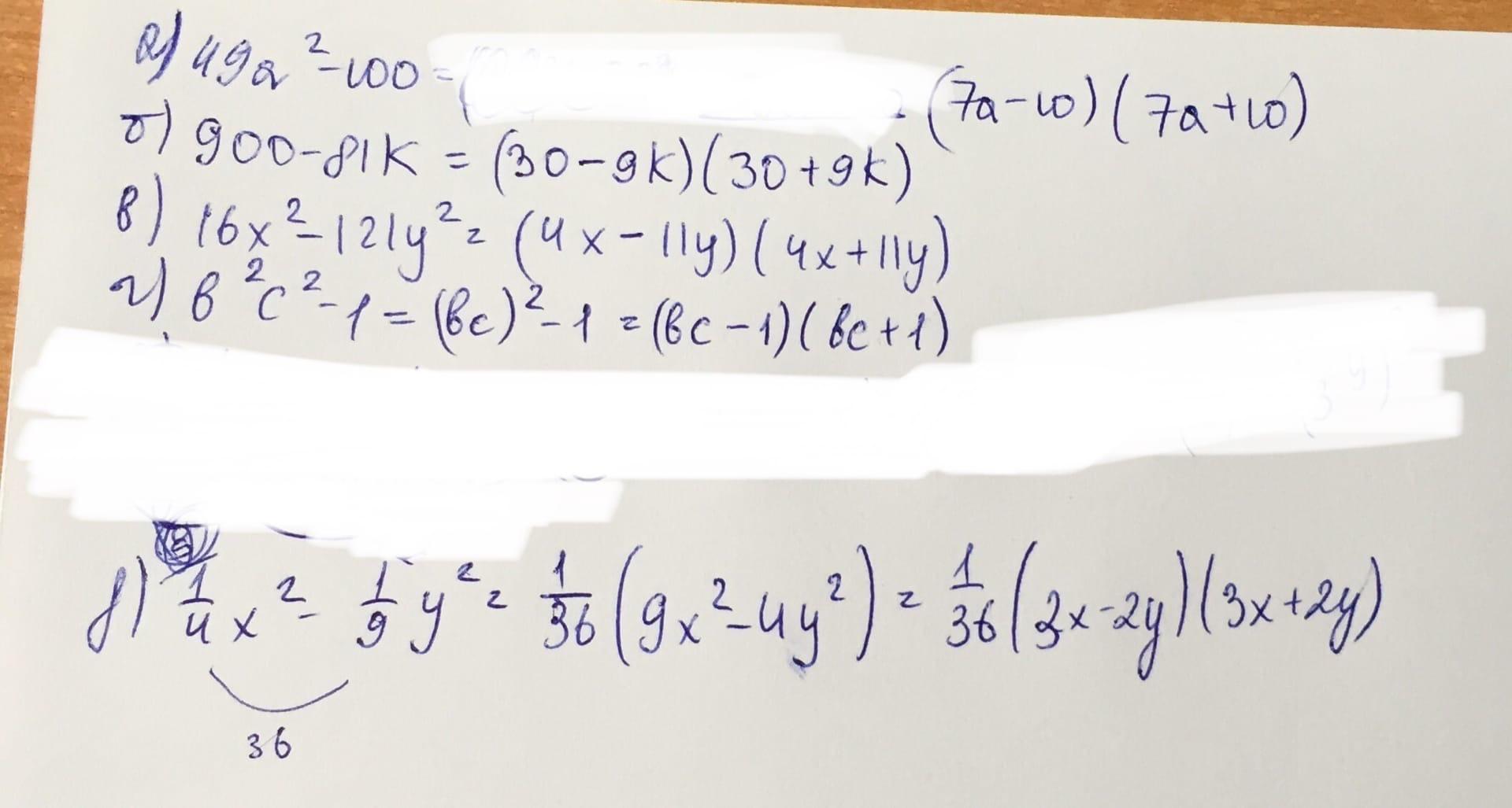
а)49a²-100=
б)900-81k²=
в)16х²-121у²=
г)b²c²-1=
д)
x²-
y²=
Ответы
Ответ дал:
1
Ответ:
Объяснение:
Подробно в файле, удачи
Приложения:

Вас заинтересует
2 года назад
3 года назад
8 лет назад