упростите вырожение
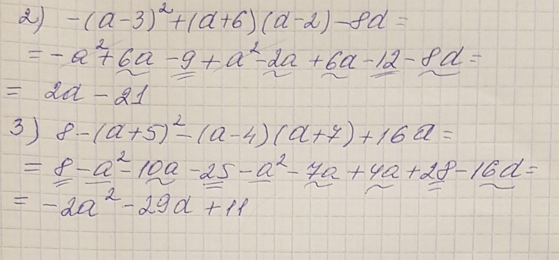
помогите пожалуиста 9 номер 3-4 пример и 10 задание 3и4 пример
Приложения:

sharandinkir:
забеи на рандом можеш сделать
Ответы
Ответ дал:
1
Ответ:
10) 3. -(а-5)²+(3а-2)(7-а)-18а+6 = -a²+10a-25+21a-3a²-14+2a-18a+6= -4a²+15a-33.
4. -(4-2a)²-(3a-2)(6-a)+a² = -16+16a-3a²-18a+3a²+12-2a=-4-4a=-4a-4.
Приложения:

Вас заинтересует
2 года назад
3 года назад
3 года назад
8 лет назад
8 лет назад