• Предмет: Геометрия
  • Автор: Lisana1
  • Вопрос задан 10 лет назад

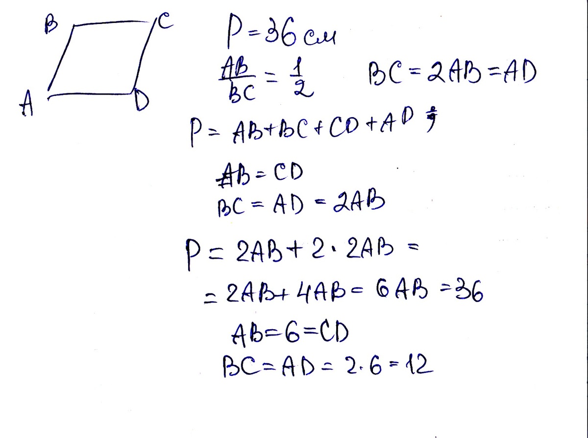
Периметр параллелограмма АВСД =36см.АВ:BC=1:2
Найти стороны параллелограмма

Ответы

Ответ дал: malyshmila
0
периметр - это сумма всех сторон,в параллелограмме противоположные стороны равны
Приложения:
Вас заинтересует