• Предмет: Математика
  • Автор: Аноним
  • Вопрос задан 10 лет назад

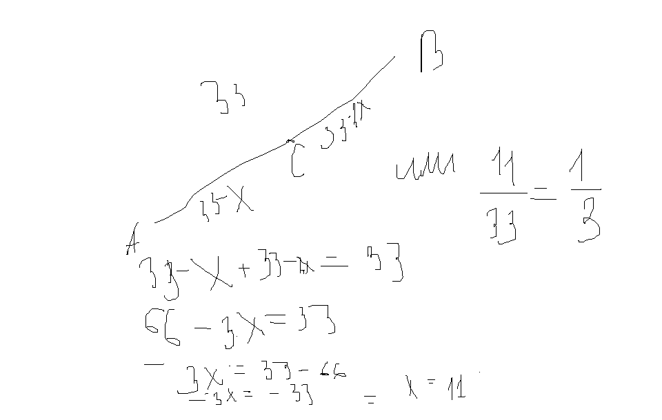
Длина отрезка  АВ равна 33 см.Точка С делит его на два отрезка АС и СВ.40% отрезка АС равны 1 отрезка СВ.Найдите длину отрезка АС.                                                                    3                   

Ответы

Ответ дал: zontik24
0
отрезок ас обозначим за х, а отрезок сb за 2х, тогда расстояние ас= 33-х, а расстояние сb= 33-2x
общее расстояние равно (33-х)+(33-2х)=33 
Приложения:
Ответ дал: Аноним
0
Не понятно
Ответ дал: zontik24
0
1/3 это расстояние ас от всей длины отрезка аb=33
Вас заинтересует