• Предмет: Математика
  • Автор: konorovaviktoria8
  • Вопрос задан 8 лет назад

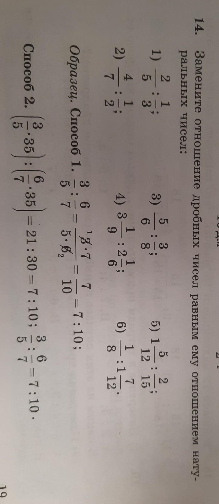
14. Замените отношение добрых чисел равными ему отношением натуральных чисел 1) 2/5:1/3 2) 4/7:1/2 3) 5/6:3/8 4) 3 1/9:2 1/6 5) 1 5/12:2/15 6) 1/8: 1 7/12
два способа. образец на картинке

Приложения:

Ответы

Ответ дал: rusanovatoma339
5

Ответ: Вот ответ

была рада помочь

извините я там ошиблась в 1 примере там будет 6:5, в 4) примере там надо (28/9)÷(13/6) ошиблась извините пажалуйста

Приложения:

19900888aron90: ?как уроки
rusanovatoma339: хорошо
rusanovatoma339: я сейчас буду писать сор
19900888aron90: удачи
19900888aron90: удачи
19900888aron90: пр какому?
rusanovatoma339: по естествузнанию
19900888aron90: какой класс ?
rusanovatoma339: 6 класс
19900888aron90: ааа
Вас заинтересует