Ответы
Ответ дал:
0
Ответ: нет ответа
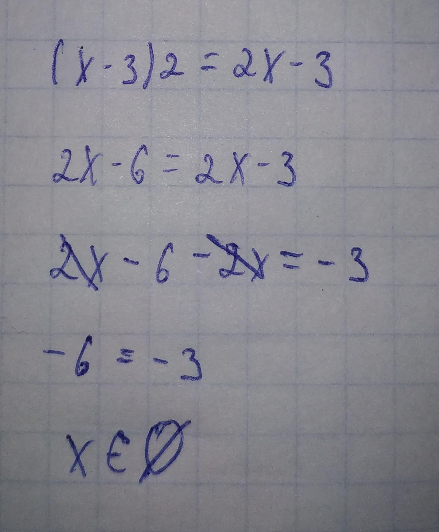
Объяснение: сперва умножаем 2 на каждые числа в скобка. Чтобы сократить 2х я 2х с другой стороны переместил и поэтому него поменялся знак
Приложения:

Ответ дал:
2
Ответ:
(х-3)²=2х-3
x²-6x+9=2x-3 (мы раскрыли скобки)
x²-6x+9-2x+3=0 (переносим слагаемые в левую сторону неравенства)
x²-8x+12=0 (записываем само выражение)
D=b²-4ac
D=(-8)²-4*1*12= 16
x₁= 8+-√16/2=8+-4/2=8+4/2=6
x₂=8+-√16/2=8+-4/2=8-4/2=2
x₁=6
x₂=2
Объяснение:
Вас заинтересует
2 года назад
2 года назад
3 года назад
3 года назад
8 лет назад
8 лет назад
9 лет назад
9 лет назад