• Предмет: Математика
  • Автор: muratkalievaalina
  • Вопрос задан 8 лет назад

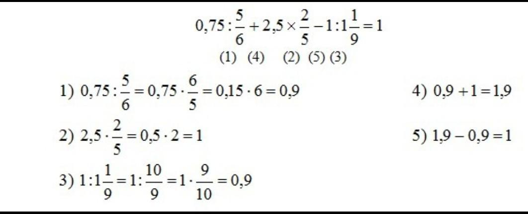
0,75:5/6+2,5*2/5:1 1/9

Ответы

Ответ дал: almas09062006
0

Ответ:

вот ну крч вот в приложении удачи тебе

Приложения:
Вас заинтересует