• Предмет: Математика
  • Автор: Vasimaxxx
  • Вопрос задан 8 лет назад

Помогите решить пропорцию пожалуйста, даю 20 баллов!

Приложения:

Ответы

Ответ дал: timurahmetzyanov50
0

Ответ:

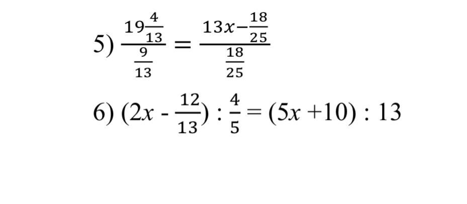
5) х = 8/5

6) х = 10/11

Пошаговое объяснение:

5)

251/13 * 18/25 = 9/13 * (13х-18/25)

4518/325 = 9х - 162/325

-9х = -72/5

х = 8/5

6)

26х - 12 = 4х + 8

22х = 20

х = 10/11

Ответ дал: viktorija1007
0

Пошаговое объяснение:

(2x - 12/13) : 4/5 = (5x + 10) : 13

13(2x - 12/13) = 4/5 x (5x + 10)

26x - 12 = 4/5 x (5x + 10)

26x - 12 = 4/5 x 5 (x+2)

26x - 12 = 4 x (x+2)

26x - 12 = 4x + 8

26x - 12 - 4x + 8

26x - 4x = 8 + 12

22x = 20

x = 10/11

Вас заинтересует