• Предмет: Математика
  • Автор: m3a4s3a
  • Вопрос задан 8 лет назад

решите подроббно пж срочно!!!!!!!!!!!!!!!!!!!!!!!! срочно !!!!!!!!!!!!!!!!!дам 100 балов

Приложения:

Ответы

Ответ дал: parus77
1

Ответ:

Пошаговое объяснение:

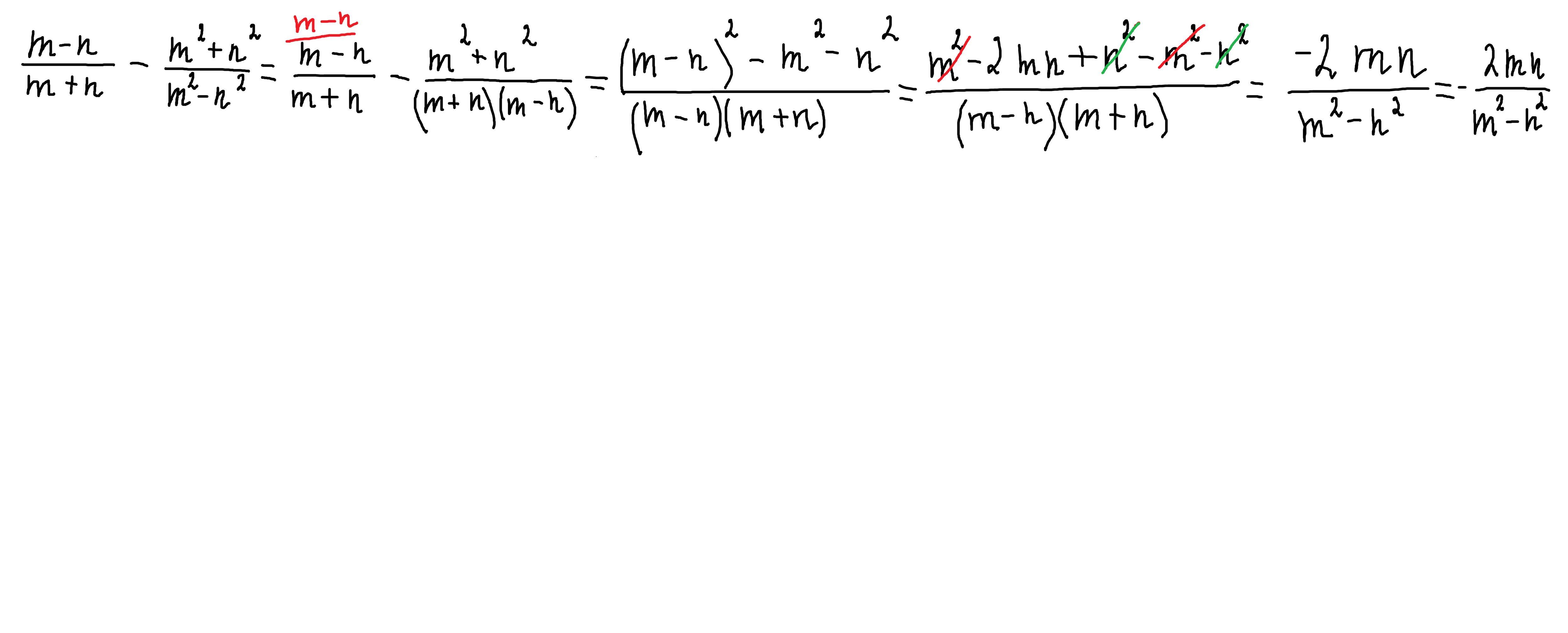
решение внизу.условие видно очень плохо.надеюсь,что я прочитала его правильно.

Приложения:

m3a4s3a: опа спасибо
m3a4s3a: большое
Вас заинтересует