• Предмет: Алгебра
  • Автор: МоРе99
  • Вопрос задан 8 лет назад

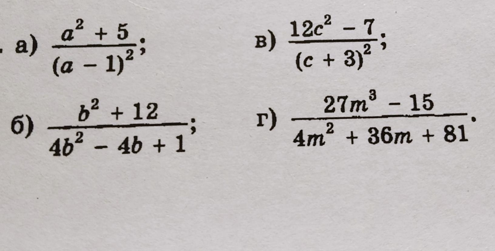
Найдите, при каких значениях переменной не имеет смысла алгебраическая дробь:
См. Фото, под всеми буквами, пожалуйста)

Приложения:

Ответы

Ответ дал: TanomiU
0

Ответ:

Объяснение:

Дробь не имеет смысла, если знаменатель = 0.

а) О.Д.З. (область допустимых значений):

 а - 1 ≠ 0   → а ≠ 1 ( при а =1 не имеет смысла)

б)

4b² - 4b + 1 ≠ 0

(2b)² - 2 * 2b * 1 + 1 ≠ 0

(2b - 1)² ≠ 0

2b - 1 ≠ 0

2b ≠ 1

b ≠ 1/2

b ≠ 0,5  (при b = 0,5 дробь не имеет смысла)

в)

с + 3 ≠ 0   →  с ≠ -3 (при c == - 3 дробь не имеет смысла)

г)

4m² + 36m +81 ≠ 0

(2m)² + 2 * 2m *9 + 9² ≠ 0

(2m + 9)² ≠ 0

2m + 9 ≠ 0

m ≠ 9/2

m ≠ 4,5 (при m = 4,5 дробь не имеет смысла)

Ответ дал: Universalka
0

Знаменатель дроби не должен равняться нулю , так как на ноль делить нельзя .

1) \ \dfrac{a^{2}+5 }{(a-1)^{2} }\\\\(a-1)^{2}\neq 0\\\\a-1\neq0\\\\a\neq1

При a = 1 дробь не имеет смысла

2) \ \dfrac{b^{2}+12 }{4b^{2}-4b+1 }=\dfrac{b^{2} +12}{(2b-1)^{2} } \\\\(2b-1)^{2} \neq 0\\\\2b-1\neq0\\\\2b\neq1\\\\b\neq0,5

При b = 0,5 дробь не имеет смысла

3) \ \dfrac{12c^{2}-7 }{(c+3)^{2} }\\\\(c+3)^{2} \neq 0\\\\c+3\neq0\\\\c\neq-3

При c = -3 дробь не имеет смысла

4) \ \dfrac{27m^{3}-15 }{4m^{2} +36m+81}=\dfrac{27m^{3}-15 }{(2m+9)^{2} } \\\\(2m+9)^{2}\neq 0\\\\2m+9\neq0\\\\2m\neq-9\\\\m\neq-4,5

При m = - 4,5 дробь не имеет смысла

Вас заинтересует