• Предмет: Математика
  • Автор: Person1105
  • Вопрос задан 8 лет назад

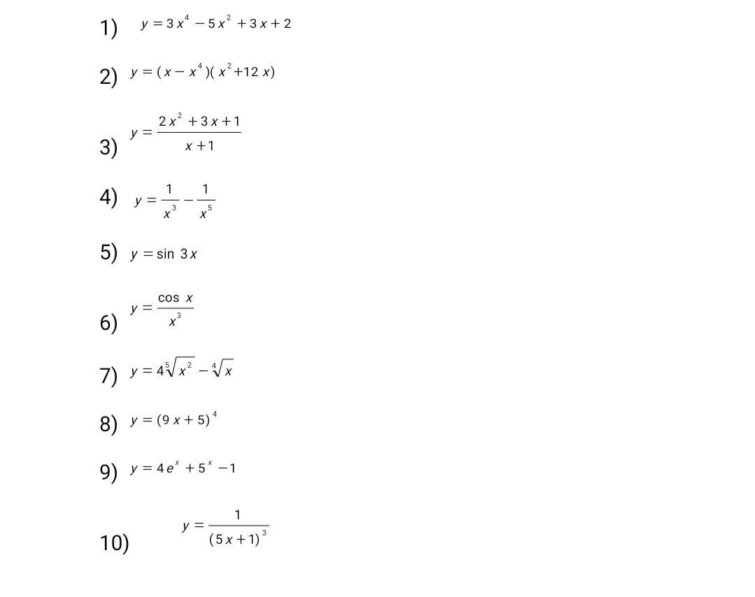
Объясните пожалуйста всё подробно, как и почему.

Приложения:

Аноним: Много заданий. И непонятно, какой вопрос к функции
Person1105: Вычислить производные функций

Ответы

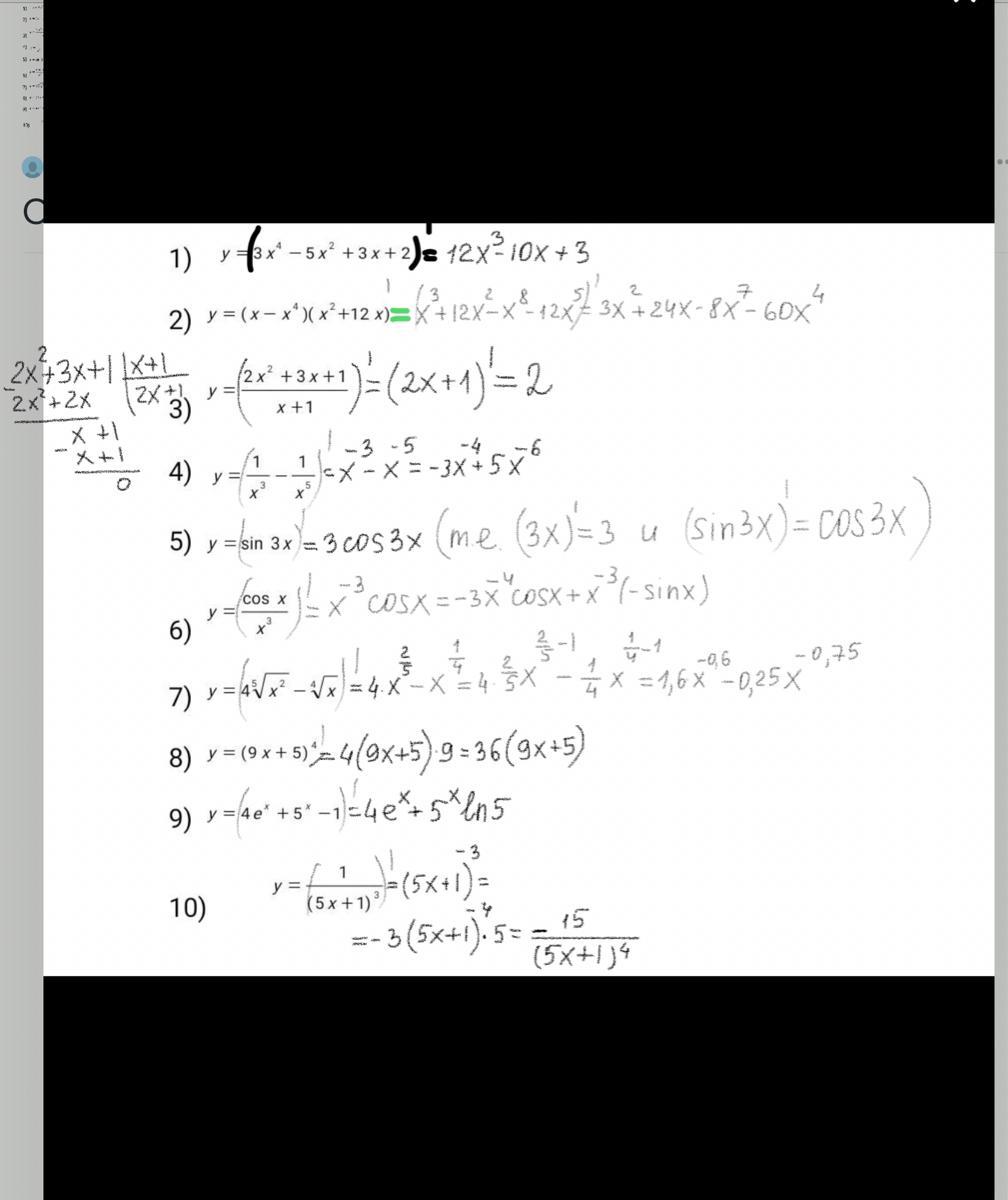
Ответ дал: Pysssik
1
Ну пока таблицу производных не выучишь, можно не пробовать понять. В интернете их много. Выучи. Правила дифференцирования произведения и деления , а так же производную сложной функции
Приложения:
Вас заинтересует