• Предмет: Математика
  • Автор: ushaxnoza01
  • Вопрос задан 8 лет назад

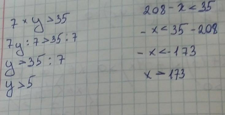
Помогите 7·у>35. 208-х<35

Ответы

Ответ дал: bahytgulkabylainova
1

Пошаговое объяснение:

см фото,,,,,,,,,,,,,,,,,,,,,,,,,,

Приложения:
Ответ дал: cathat5555
0

Ответ:

tttttttttghvkvjvibkvkvibib

Приложения:
Вас заинтересует