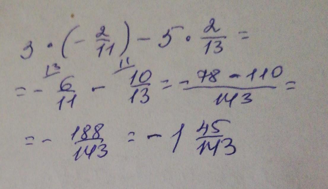
Найди значение выражения 3m−5n, если m=−2/11, n=2/13.
( В окошко перед дробью вставь "+" или "-")
3m−5n =
.
Приложения:
Ответы
Ответ дал:
1
Ответ:
Смотри решение на фото выше
Приложения:
Аноним:
спасибо!
Вас заинтересует
2 года назад
2 года назад
3 года назад
3 года назад
9 лет назад
9 лет назад
10 лет назад
10 лет назад