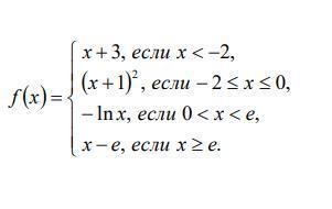
Помогите, пожалуйста, срочно! Исследовать непрерывность функции f(x). Найти точки разрыва функции и определить их характер. Выполнить геометрическую иллюстрацию
Приложения:

Ответы
Ответ дал:
1
Ответ:
x=-2 - точка непрерывности
х=0 - точка неустранимого разрыва 2-го рода
х=e - точка неустранимого разрыва 1-го рода
Пошаговое объяснение:
Возможные точки разрыва (граничные точки кусочной функции):
x=-2; x=0; x=e
Проверим их с помощью односторонних пределов
Приложения:

Вас заинтересует
3 года назад
можешь помочь еще, если нетрудно?
в баллах не обижу!)