Решите выражение :
-0,72 ×(-3,6)-0,28×(-3,6)
______________
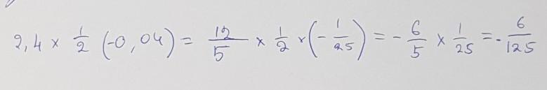
2,4×1/2÷(-0,04)
Помогите пожалуйста !!!!!! У меня контрольная !!!! Пожалуйста с решением
Даю 100 Баллов!!!!!!
Ответы
Ответ дал:
19
Ответ:
1)ответ 3,6
2)ответ -6/125 если перевести то будет -0,048
.................
Приложения:


altyndi08:
правильно
Ответ дал:
5
Ответ:
Объяснение:
1) 3.6
2)-30
Вас заинтересует
2 года назад
3 года назад
3 года назад
8 лет назад