• Предмет: Алгебра
  • Автор: Musaj
  • Вопрос задан 8 лет назад

Нужна помощь Алгебра 8 класс

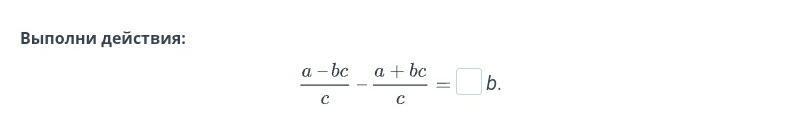
Приложения:

Ответы

Ответ дал: ildar502020
1

Ответ:

Объяснение:

(a-bc)/c - (a+bc)/c = c;

(a-bc) - (a+bc) = c*c;

Раскроем скобки:

-2bc=c^2;

c^2+2bc=0;

c(c+2b)=0.  Тогда  либо

с=0; либо

c+2b=0;

c=-2b.

Вас заинтересует