Найдите n и S арифметической прогрессии,если :
1) а1 = -35; an = -15; d = 5и m= 6;
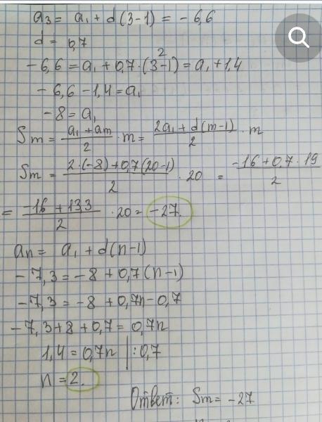
2) а3= -6,6; an = -73; d = 0,7 и m= 20.
Ответы
Ответ дал:
2
Ответ:2) надеюсь помогла.
Объяснение:
Приложения:

usmanova20205:
Большое спасибо
Вас заинтересует
2 года назад
2 года назад
8 лет назад
9 лет назад