Ответы
Ответ дал:
1
Ответ,Объяснение:
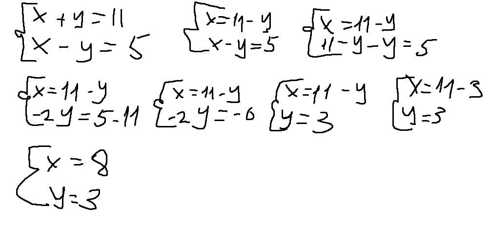
х+у=11
х-у=5
---------
х=11-у
11-у-у=5
-2у=5-11
-2у=-6
у=-6:(-2)
у=3
х=11-у=11-3=8
-----------------------
проверяем:
х+у=11
8+3=11
х-у=5
8-3=5
Ответ дал:
1
Ответ:
8,3
Объяснение:
Приложения:

Вас заинтересует
2 года назад
3 года назад
3 года назад
9 лет назад
9 лет назад