• Предмет: Математика
  • Автор: lejlaajvazova6
  • Вопрос задан 8 лет назад

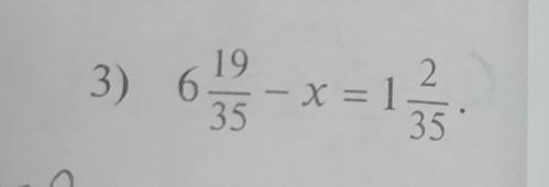
Помагите срочно пожалуйста​

Приложения:

Ответы

Ответ дал: maskymjashin
0

Ответ:

         17

x = 5 35

Пошаговое объяснение:

Вас заинтересует