Ответы
Ответ дал:
2
Ответ:
Вот держый есле что это я прашол хахахах есле дамашку не умееш вот на случи дамашки я тебе дам +77475132008
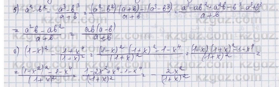
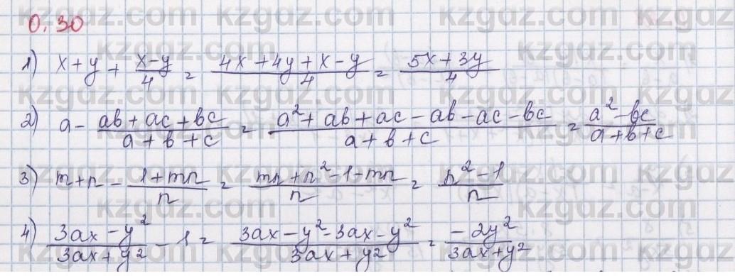
Приложения:


Аноним:
спасибо большое)
Вас заинтересует
2 года назад
2 года назад
3 года назад
3 года назад
8 лет назад
9 лет назад