• Предмет: Математика
  • Автор: aliya14021981
  • Вопрос задан 8 лет назад

пожалуйста выччислите по действеям прошуууууу​ пожалуйста срочнооо прошу вас прошууу помогите пожалуйста пожалуйста ПОЖАЛУЙСТА ПРОШУ НУЖНО ОЧЕНЬ НУЖНО

Приложения:

Ответы

Ответ дал: jekadva
1

Ответ:

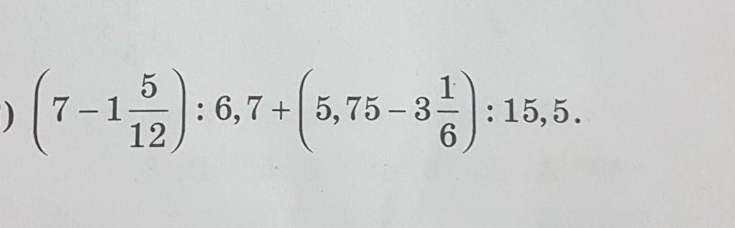
1) 7 - 1\frac{5}{12} =5\frac{7}{12} \\\\2)5\frac{7}{12} :6,7 =\frac{67}{12} :\frac{67}{10} =\frac{67}{12} *\frac{10}{67} =\frac{5}{6} \\\\3)5,75-3\frac{1}{6} =5\frac{3}{4} -3\frac{1}{6} =5\frac{9}{12} -3\frac{2}{12} =2\frac{7}{12} \\\\4)2\frac{7}{12} :15,5=\frac{31}{12} :\frac{155}{10} =\frac{31}{12} *\frac{2}{31} =\frac{1}{6} \\\\5)\frac{5}{6} +\frac{1}{6} =\frac{6}{6} =1\\\\Otvet: 1

Пошаговое объяснение:


aliya14021981: спасибо большое
Вас заинтересует