Ответы
Ответ дал:
1
Ответ:
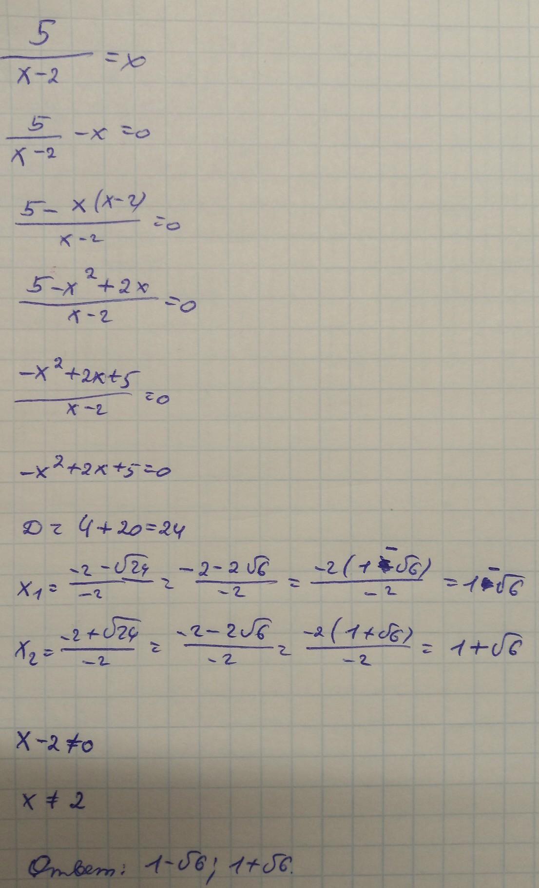
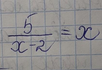
подробное решение на фото, если не понятно, то спрашивай
Приложения:

nohopo880:
благодарю,вам!
Вас заинтересует
2 года назад
2 года назад
3 года назад
3 года назад
8 лет назад
9 лет назад