• Предмет: Алгебра
  • Автор: runer07
  • Вопрос задан 8 лет назад

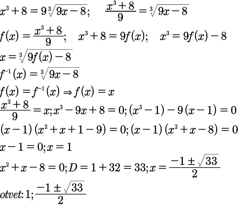
Ребят, очень прошу с уравнением, никак не могу решить. X^3+8= 9*(9x-8)^(1/3) под номером двадцать

Приложения:

Ответы

Ответ дал: mparfentjev
1

Ответ: Только вычисление

Объяснение:

Приложения:

tamarabernukho: Под корнем не 9-8, а 9х -8
mparfentjev: Сори не заметил
mparfentjev: Тогда понятно в чём проблема
runer07: В ответе х1=1; х2=1/2*(-1+33^2);х3= 1/2*(-1-33^2)
runer07: Х2=1/2*(-1+33^(1/2)) ; х3= 1/2*(-1-33^(1/2)), сори ошибся
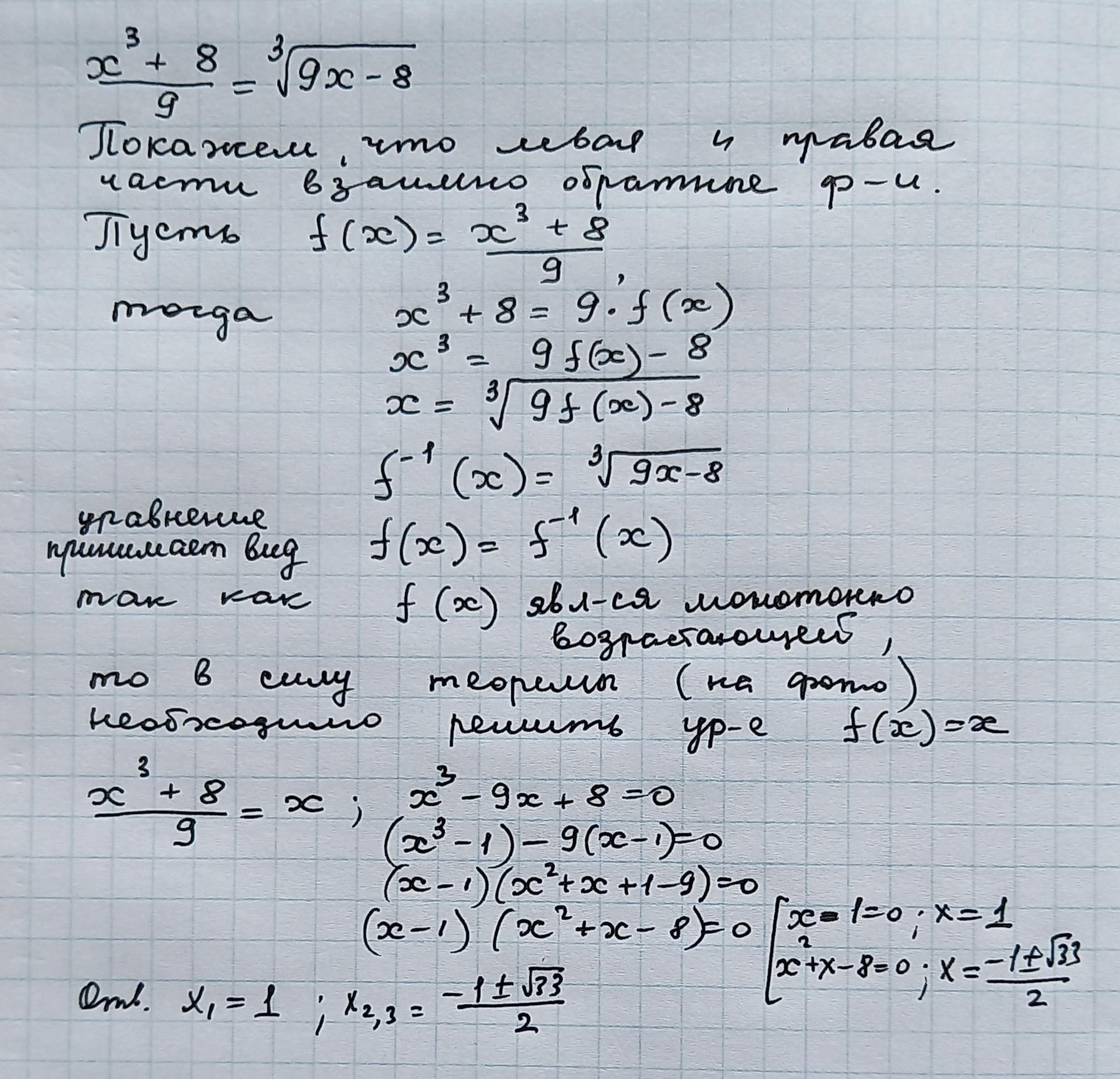
Ответ дал: tamarabernukho
4

Ответ:

Объяснение:

....................................

Приложения:
Вас заинтересует